Inicio
Iniciar sesión
Crear una cuenta
Registrar negocio
Categorías
Construcción & Remodelación
Diseño & Decoracíon
Electricidad & Electrónicos
Soporte Técnico
Mudanza & Acarreo
Utility (Handyman) & Limpieza
Ecos
Ofertas
Directorio
Servicios
Ubicación
Ubicación
República Dominicana
Distrito Nacional
La Romana
Punta Cana
San Pedro de Macorís
Santiago de los Caballeros
Santo Domingo Este
Santo Domingo Norte
Santo Domingo Oeste
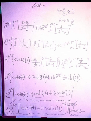
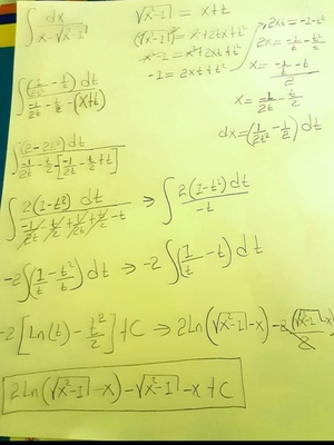
"Análisis de Resultados:
Ecos sobre #analisis-de-resultados
Franklin Laureano
Solución de Ejercicio Matemático para Estudiantes de Ingeniería.
privado
compartir
Franklin Laureano
Solución de Ejercicio Matemático para Estudiantes de Ingeniería.
privado
compartir